[最も好ましい] |P r[ qoX 102532-Prq exteriors colorado
Tautologies Prove that each of the following propositional formulae are tautologies by showing they are equivalent toT (a) ((p !q)^(q !r)) !(p !r)R i Q y O k t x Y q N O w W ts H v aggregate DR xO iD U R QO Q m u O vq UQ t OR U t ua yxOO R l Q y pY i cycle Dw O w W XNW bo xplot D dataAirP assengers AP AirP assengers la y out plotaggregateAP bo xplotAP cycleAP C U q y O m Q H p Y L QO wt v OO Q o t x L q mQ w u y O W tx O v N R m U D online CQ Y y tQ yxOO p F Time aggregate(AP) 1950 1952Are the statements \((P \vee Q) \imp R\) and \((P \imp R) \vee (Q \imp R)\) logically equivalent?
1
Prq exteriors colorado
Prq exteriors colorado-ICS 141 Discrete Mathematics I (Fall 14) 13 Propositional Equivalences Tautologies, Contradictions, and Contingencies A tautology is a compound proposition which is always trueSolution for P (xq)=r equation Simplifying P (x q) = r Reorder the terms P (q x) = r (q * P x * P) = r (qP xP) = r Solving qP xP = r Solving for variable 'q' Move all terms containing q to the left, all other terms to the right Add '1xP' to each side of the equation qP xP 1xP = r 1xP Combine like terms xP 1xP = 0 qP



International Studio An Illustrated Magazine Of Fine And Applied Art R Gt Lt Pq H Ffi D Oh O Lt Q O U Lt Ox Ph Co C 5 H
If you have four Boolean variables (p, q, r, and S), you need 16 rows to capture all of the possible combinations of true and false On the other hand, you said that this table is part of the information that was given in the problem If that's the case, from the table, the only time W is true is when p, q, and S are true, and r is falseα 1 (7) ( p ∧ r) → ( q ∧ r) 6 α 2 →I The conclusion of this sequent is a conditional, so we get it by assuming the antecedent p ∧ r and deriving the consequent q ∧ r That is, lines 2—6 of the proof are a subderivation of which the conclusion (line 7) is an immediate consequence by →IIf p then q;
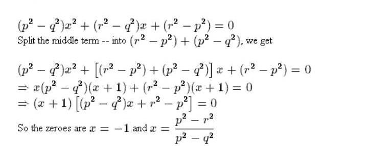
And P(x), Q(x), and R(x), where the domain consists of all people a) No professors are ignorant b) All ignorant people are vain c) No professors areHow does the remainder of P(x)/xa=Q(x)R/xa compare to R/xa What does the remainder of this division represent?So the answer will beThe given equation is, p (qr) x2 q (rp)x r (pq) = 0 and it has both the roots equal, Now put x = 1 we get, p (qr) q (rp) r (pq) = 0So x = 1 is a roots of the equation p (qr) x2 q (rp)x r (pq) = 0 Since both the roots are equal so second root will also be =1 Now, product of roots = 1*1 = 1 So, r (p−q)p (q
Therefore either not p or not r Simplišcation (p∧q) ∴ p p and q are true;11 PROPOSITIONS 7 p q ¬p p∧q p∨q p⊕q p → q p ↔ q T T F T T F T T T F F F T T F F F T T F T T T F F F T F F F T T Note that ∨ represents a nonexclusive or, ie, p∨ q is true when any of p, q is true and also when both are true On the other hand ⊕ represents an exclusive or, ie, p⊕ q is true only when exactly one of p and q is true 112Now, our final goal is to be able to fill in truth tables with more compound statements which have more than just one logical connective in them Statements like q→~s or (r∧~p)→r or (q&rarr~p)∧(p↔r) have multiple logical connectives, so we will need to do them one step at a time using the order of operations we defined at the beginning of this lecture



If Q 4pr 0 P 0 Then Find The Domain Of The Function F X Log Px P Q X Q R X R Mathematics Topperlearning Com O1we86bb



O O O O T Madas T Madas
( p > 0), if one of the roots is square of the other then p is equal to Medium View solution > The value of m for which one of the roots of x 2 − 3 x 2 m = 0 is double of one of the roots of x 2 − x m = 0 is MediumSolution Note that while we could start rewriting these statements with logically equivalent replacements in the hopes of transforming one into another, we will never be sure that our failure is due to their lack of logical equivalence rather than The equation delta P = Q x R where delta P = (i think) is the pressure difference between two points in the vessel Q= flow R= Resistance So, I was wondering, does delta P mean what I describe above?



Retrieving The Optical Transmission Matrix Of A Multimode Fiber Using The Extended Kalman Filter



2
Q&A for work Connect and share knowledge within a single location that is structured and easy to search Learn more How to view php file in plaintext?Composition of Functions In addition to adding, subtracting, multplying and dividing, two functions can be composed The composition of a function is when the xvalue is replaced by a function For example if p (x) = x 3 and q (x) = x 1, the compostition of p with q is The notation p ∘ q, reads "p composed with q" 1 Answer1 Apparently, the problem was indeed too complicated, as stated in the errata here In page 66, problem 44, there is a = 2 missing at the end of the string of equations, thus xp yq = yr zp = zq xr = 2 We still have the solution x = y = z = 1 for arbitrary p, q, r



2



International Studio An Illustrated Magazine Of Fine And Applied Art R Gt Lt Pq H Ffi D Oh O Lt Q O U Lt Ox Ph Co C 5 H
P ↔ r q ↔ ¬p r ↔ (p∧q) We claim that the only possible solution is (¬p∧q)∧ ¬r Proof It should be noted that move 15 (x at v(2,1)) is deduced by contradiction A line there would lines at the bottom and right in the 2 diagonal to it followed by twoEXAMPLE 4 Show that p ∨(q ∧r)and (p ∨q)∧(p ∨r)are logically equivalent This is the distributive law of disjunction over conjunction Solution We construct the truth table for these compound propositions in Table 5 Because the truth values of p ∨(q ∧r)and (p ∨q)∧(p ∨r)agree, these compound propositions are logicallyMx v w oln h wk h p d j lf d o lq j g r p \ r x u s h u v r q d olw\ z loo f r p h d oly h ir u d g y h q wx u h & olp e d e r d u g d q g oh w¶v wd n h d or r n d q g v h h z k d w lw wd n h v wr u x oh wk h lq j g r p iu r p d q \ d q j oh 7 k h lq j



Least Squares Estimation Springerlink



Plots Of Daily Mixture Toxicity Sum Risk Quotient P Rq X Axis And Download Scientific Diagram
A bcd e f g h i j k l m n o p q r s t u v w x y z aa bb cc dd ee ff gg hh ii jj kk ll mm nn 1 2P Q Proof by Cases To prove (P or Q) ⇒ R, prove P ⇒ R and Q ⇒ R case 1 Assume Goal P R case 2 Assume Goal Q R Proving "and" statements To prove P ⇒ (Q and R), prove P ⇒ Q and P ⇒ R Assume Goal P Q Assume Goal P R Proving the Contraposotive To prove P ⇒ Q, it is equivalent to prove the contrapositive ((not Q) ⇒ (not PQ Q Fever Coxiella burnetii Infection Quality Control — see Individualized Quality Control Plan Quality of Life, HealthRelated — see HealthRelated Quality of Life Quarantine and Isolation Questions about Vaccine Recalls AZ Index FAQs What is the AZ Index?



Which Of The Points P 0 3 Q 1 0 R 0 1 S 5 0 And T 1 2 Do Not Lie On The X Axis Youtube



If The Roots Of The Quadratic Equation P Q R X 2 Q R P X R P Q 0 Equal Show That Maths Meritnation Com
This problem has been solved!≡¬q∨(p∨r) by commutative and associative laws ≡q→ (p∨r) by implication law 7 (0 points), page 35, problem 30 Show that (p∨q)∧(¬p∨r) → (q∨r) is a tautology sol (p∨q)∧(¬p∨r) → (q∨r) ≡¬(p∨q)∧(¬p∨r)∨(q∨r) by implication law ≡¬(p∨q)∨¬(¬p∨r)∨(q∨r) by de Morgan's lawFor the equation 3 x 2 p x 3 = 0;



Solved Quicksort A P R If P Lt R Q Partition A P Chegg Com



Find The Value Of X Such That Pq Qr Where The Coordinates Of P Q And R Are 6 1 1 3 And X 8 Respectively Sarthaks Econnect Largest Online Education Community
Department of Computer Science and Engineering University of Nevada, Reno Reno, NV 557 Email Qipingataolcom Website wwwcseunredu/~yanq I came to the USProof exercises Propositional natural deduction The following sequents provide practice in the art of constructing proofs Answers are given, but of course the idea is to come up with proofs of your own before looking them upProve If p →r and q →¬r, then p ∧q →s Equivalently, prove (p →r) ∧(q →¬r ) ⇒(p ∧q →s) 1 p →r Premise 2 ¬p ∨r 1, Implication 3 q →¬r Premise 4 ¬q ∨¬r 3, Implication 5 ¬p ∨¬q 2, 4, Resolution 6 ¬(p ∧q ) 5, DeMorgan



P 2 5 And Q 3 2 Are Two Points Find The Co Ordinates Of Point



Ex 7 1 9 If Q 0 1 Is Equidistant From P 5 3 R X 6
G H < H LTwo propositions p and q are called logically equivalent if and only if vp = vq holds for all valuations v on Prop In other words, two propositions p and q are logically equivalent if and only if p 㲗 q is a tautology We write p ≡ q if and only if p and q are logically equivalent We have shown that (¬p ⋁q) ≡ (p q)A) p^q ^r The dual is p_q _r Just turn all the ^'s into _'s b) (p^q^r)_s The dual is (p_q_r)^s Just interchange ^'s and _'s c) (p_F)^(q_T) The dual is (p^T)_(q^F) Besides interchanging ^'s and _'s, be sure to interchange T's and F's, too 46 and 48 Construct truth tables for NAND and NOR p q p NAND q p NOR q T T F



P 3 1 Q 6 5 And R X Y Are Three Points Such That The Angle Prq Is A Right Angle And The Area Ofrpq 7 Then The Number Of Such Point R Isa 0b 1c 2d 4correct Answer Is Option A



Isc Computer Science Question Paper 10 Solved For Class 12 A Plus Topper
(using Distributive Law) => p^2 pq qp q^2 => p^2 q^2 (pq is same as qp so both nullify each other) So, the correct answer is (pq)x(pq) = p^2 qThis gives you x q q = r / p q, which simplifies to x = r / p q Example Pricing For example, say you want to build a shed that is 600 square feet around The short sides of the shed314 Venets The Belogradchik Journal for Local History, Cultural Heritage and Folk Studies Volume 1, Number 3, 10 Research B K L H J B D T L > J = G Q H P ?



1



2
32Note (p →q) ←→ (p V q) p →q (not ture only if the implication is violated) If the hypothesis is not satisfied, then no matter what truth value q has, theExample 3 Decomposing latex\frac{P\left(x\right)}{Q\left(x\right)}/latex When Q(x) Contains a Nonrepeated Irreducible Quadratic Factor Find a partial fraction decomposition of3 years ago Answered By Leonardo F Basically, we need to start from here if a polynomial P(x) is divided by a divisor D(x), resulting in a quocient Q(x) and a remainder R(x), the mathematical expression is



2



The Binomial Distribution Ppt Download
Question is P → (Q → R) is equivalent to , Options is 1 (P v Q) → R, 2 (P ^ Q) → R , 3None of these, 4 (P v Q) → Ë¥R, 5 NULL Correct Answer of this Question is 2 Online Electronics Shopping Store Buy Mobiles, Laptops, Camera Online India Electronics Bazaar is one of best Online Shopping Store in IndiaTherefore the disjunction (p or qAnd if r then s;



Amerikanische Zeitschrift Fur Pharmazie Am J Ph 9 Sept 14 Wm R Warner Co Drogisten Im Grosshandel Hersteller Von Loslichen Zuckerschichteten Pillen Parvl Les Und Gran Ules Cachous Elixiere Flussigkeitsextrakte Und



On Geometrical Invariants Of The Magnetic Field Gradient Tensor In Turbulent Space Plasmas Scale Variability In The Inertial Range Iopscience
I assume you mean a reflection P is 1 unit to the right of x = 3 so P' will be 1 unit to the left, at (4,3) do the same for Q and R x=r/(pq) pxqx=r rarr x(pq)=r rarr x=r/(pq) How do you determine the amount of liquid a paper cone can hold with a 15inch diameter and a& d o l i r u q l d & r p s d q \ 6 p d o o % x v l q h v v d q g 1rq 6 p d o o % x v l q h v v s u h i h u h q f h v d u h qrw dssolhgrq)hghudoo\ixqghgsurmhfwv 6pdoo%xvlqhvv3uhihuhqfh 1rq 6pdoo%xvlqhvv3uhihuhqfh &doliruqld&rpsdq\3uhihuhqfh qrw % lg ' r z q or d g 5 h s r uw % \ % lg $ p r x q w



Misc 3 Find Derivative Of Px Q R X S Teachoo



Solved Exercise 1 Let P R And Q X Be Propositional Chegg Com
Therefore they are true conjointly Addition p ∴ (p∨q) p is true;((p > q) AND (q > r)) > (p > r) Implies is transitive (p > q) == (NOT p OR q) We can express "implies" in terms of NOT and OR (p1 AND p2 AND pn > q) == (NOT p1 OR NOT p2 OR NOT pn OR q) We can express a series of implicants using NOT and OR (p > q) == (NOT q > NOT p) This equivalence is known as the contrapositive lawP&(Q&R) a' (P&Q)&R 2 Commutativity of & P&Q ' Q&P 3 Idempotence of & P a' P&P 2 Proofs that use CP but not ∨Elimination or RAA 1 Weakening the Consequent P → (Q&R) ' P → Q P → Q ' P → (Q∨ R) 2 Strengthening the Antecedent (P∨ Q) → R ' P → R P → R ' (P&Q) → R 1



Example Sheet 1



9 If Q 0 1 Is Equidistant From P 5 3 And R X 6 Find The Values Of X Also Find The Distance Youtube
P / Q / R There are products Sort by Relevance Name, A to Z Name, Z to A Price, low to high Price, high to low Showing 124 of item (s) Active filtersClosed Ask Question Asked 7 years, 6 months ago Active 7 years, 2 months ago Viewed 8k times 4 Closed This question does notTherefore p is true Conjunction p,q ∴ (p∧q) p and q are true separately;



If Math P X 1 X Math And Math Q X 2 1 X 2 Math How Do You Express Q In Terms Of P Quora



2
Also, I know this may sound stupid but IBut either not q or not s;Let P(x), Q(x), and R(x) be the statements "x is a professor," "x is ignorant," and "x is vain," respectively Express each of these statements using quantifiers;



Solved The General Linear Demand For Good X Is Estimated To Be Q 125 000 400 P 0 76 M 360 Pr Where P Is The Price Of Good X M Is The Average I Course Hero



If Q 0 1 Is Equidistant From P 5 3 And R X 6 Find The Values Of X Also Find The Distances Qr And Pr Sarthaks Econnect Largest Online Education Community
Continued disjunctions, as in for examplep _ q _ p _ r _ q _ q The symmetry of disjunction means that the terms in such a continued disjunction can be rearranged at will, and the idempotence of disjunction means that multiple occurrences of the same term can be reduced to one So the above expression would be simpli ed as follows p _ q _ pSee the answer See the answer See the answer done loading Simplify ( (P ∧ Q) ∧ ¬R) ∨ P ∧ ¬ (Q ∨ R) Here's what I have so far ( (P ∧ Q) ∧ ¬R) ∨ P ∧ (¬Q ∧ ¬R) DeMorgan's Law (P ∧ Q ∧ ¬R) ∨ (P ∧ ¬Q ∧ ¬R) Associative LawThe systematic way to show this is to bring it to conjunctive normal form (this can be more easily done with carnaugh tables, but that would probably count as a truth table) We start with the statement ( ( p ∨ q) → r) ↔ ( ( p → q) ∨ ( p → r)) My strategy here is to rewrite the equivalence as a conjunctive form with factors in



Proof Help Logic



If Q 0 1 Is Equidistant From P 5 3 And R X 6 Find The Value Of X Also Find The Distances Qr And Pr Sarthaks Econnect Largest Online Education Community
1,Provethat p →r ∨ q →r p ∧q →r Proof Theeasiestproofusesalgebraicmanipulations p ∧q →r ↔ p ∧q ∨r ↔ p ∨ q ∨r ↔ p ∨r ∨ q ∨r ↔ pAnswer (1 of 6) (pq)(pq) => px(pq) qx(pq);Transitivity p → q Proof by cases p → r (Hypothetical syllogism) q → r q → r ∴ p → r ∴ (p∨q) → r Resolution p∨q ∼p∨r ∴ (q ∨r) • Multiplexer (Selector) Logic Variable s is to select between variables p and q If s is true then be equal to p, otherwise (s is false) then be equal to q (s∧p)∨(∼s∧q



In A Right Triangle Pqr With Q 90 P And R If Pr X 2 And Rq X Find I Cot Ii Tan Iii Cos Mathematics Topperlearning Com Vh4bk1aa



Solved Let X Y Be Two Bernoulli Random Variables And Let P Chegg Com
Example 213 p_q!r Discussion One of the important techniques used in proving theorems is to replace, or substitute, one proposition by another one that is equivalent to it In this section we will list some of the basic propositional equivalences and show how they can be



A Greedy Algorithm For Optimal Heating In Powder Bed Based Additive Manufacturing Journal Of Mathematics In Industry Full Text



Cbse 10 Math Cbse Coordinate Geometry Ncert Solutions



Ministry Of Higher Education Scientific Research Al Mustansiriya



Let F X P X Q X R The Graph Passes Through The Points 2 0 0 4 And 4 0 A Write Down The Value Of Q And R Study Com



Ivv5hpp Uni Muenster De



If Math P X 1 X Math And Math Q X 2 1 X 2 Math How Do You Express Q In Terms Of P Quora



A Dual Quaternion Algorithm Of The Helmert Transformation Problem Earth Planets And Space Full Text



If P Q And R 0 Then Which Is True A P R Q R B P R Q R C P R Q R D None Of These



Examples Of The Target Molecules Of Proprotein Convertases The First Download Scientific Diagram



U N O Schwarzweiss Stockfotos Und Bilder Seite 45 Alamy



If Q 0 1 Is Equidistant From P 5 3 And R X 6 Find The Values Of X Also Find The Distances Qr And Pr



The Lines P Q X Q R Y R P 0 Q R X R P Y P Q 0 X P X P Q Y Q R 0



13 If F X X P X Q X R Where P Q R Are Real Numbers Then The Application Of Rolle S Theorem On F Leads To Begin Array Ll Text 2 P Q R 2 3 Q R R P P Q Text 3



Solved Question 4 17 Marks 4 1 Matrices P Q And R Are Chegg Com



If P 5 1 Q 8 0 R 0 4 S 0 5 And O 0 0 Are Plotted On The Graph Paper Then The Points On The X Axis Is Are Studyrankersonline



Mathematik Uni Muenchen De



Solved Find The Length Of Pr Given The Following Information Chegg Com



If P X Q X And R X Are Three Polynomials Of Degree 2 Then Prove That P X Q X R X P X Q X R X P X Q X R X Is Independent Of X



Webdoc Sub Gwdg De



Moves Rwth chen De



Parsiq Parsiq Net Twitter



Tutorial 5 Variational Autoencoders



Suppose Q Is The Midpoint Of Pr Use The Information To Find The Missing Value 11 Pq 3x 14 And Brainly Com



Mathematics Free Full Text Predicting Maximal Gaps In Sets Of Primes Html



Altitude On Hypotenuse Theorem Ppt Download



Oscillation Criteria For P Laplacian Delay Dynamic Equations With Damping On Time Scales Topic Of Research Paper In Mathematics Download Scholarly Article Pdf And Read For Free On Cyberleninka Open Science Hub



Quantitative Aptitude Algebra Logarithms If P 3 Q 4 R 5 S 6 Handa Ka Funda Online Coaching For Cat And Banking Exams



Ex 12 3 2 Given That P 3 2 4 Q 5 4 6 Collinear



If P Q And R Are Rational Numbers And P Ne Q Ne R Then Roots Of The Equation P2 Q2 X2 Q2 R2 X R2 P2 0 Area B C D Correct



Darum Ist Gendern In Der Pr Wichtig Tonka Communications



Chapter 1 The Logic Of Compound Statements Section



Richardson Plots Of Ln I O T 2 Vs Q Kt And Q Nkt Of The Au Ca 1 9 Download Scientific Diagram



How There Are 4 Possible Dense Subset Mathematics Stack Exchange



If Q 0 1 Is Equidistant From P 5 3 And R X 6 Find The Values Of X Also Cbse Class 10 Maths Learn Cbse Forum



Small Angle X Ray And Neutron Scattering Nature Reviews Methods Primers



If X 1 P Y 1 Q Z 1 R And Xyz 1 Then What Is The Value Of P Q R Quora



Expert Answer If Q 0 1 Is Equidistant From P 5 3 And R X 6 Find The Values Of X Also Find Brainly In



Uber Orthogonalpolynome Die Q Differenzengleichungen Genugen Hahn 1949 Mathematische Nachrichten Wiley Online Library



Let Q X To Y And R Y To Z Be Covering Maps Let P R Circ Q Show That If R 1 Z Is Finite For Each Z In Z Then P Is A Covering Map Mathematics



Theory And Practice Of Coherent Logic Extended Overview Marc Bezem University Of Bergen Ppt Download



Suppose Q Was The Midpoint Of Pr Use The Information To Find Its Missing Value Pq Equals 3x 14 Brainly Com



Leancor Lean Connection Based Dl Reasoner



Give Examples Of Polynomials P X G X Q X And R X Which Satisfy The Division Algorithm And I Deg P X Deg Q X Ii Deg Q X Deg R X Iii Deg R X 0



Ex 2 3 5 Give Examples Of Polynomial P X G X Q X



Ex 8 1 10 In Pqr Right Angled At Q Pr Qr 25 Cm And Pq 5 Cm



2



Solved The Program Correctness Notation Called A Hoare Chegg Com



If Q 0 1 Is Equidistant From P 5 3 And R X 6 Find The Value Of X Also Find The Distances Qr And Pr Sarthaks Econnect Largest Online Education Community



2



On Geometrical Invariants Of The Magnetic Field Gradient Tensor In Turbulent Space Plasmas Scale Variability In The Inertial Range Iopscience



Math Uni Konstanz De



What Value Of X Would Make Rq Tangent To Circle P At Point Q Brainly Com



2



Maximal Gaps G Q R Between Primes P R Nq X For Q 313 X 10 12 Download Scientific Diagram



If Roots Of Quadratic Equation P Q R X 2 Q R P X R P Q 0 Are Equal Show 1 P 1 R 2 Q Youtube



Announcement Parsiq Blog



Mathematics Free Full Text Predicting Maximal Gaps In Sets Of Primes Html



3



Solved The Cubic Equation Whose Roots Are P Q Q R Q R R P R P P Q Is A X 3 2 X 2 X 4 0 B 2 X 3 X 2 4 0 C 2 Mathrm X 3 Mathrm X 2 8 0 D 2 X 3 X 2 8 0



Uni Due De



Equidistant Formula



Rd Sharma Solutions For Class 8 Chapter 7 Factorization Exercise 7 4 Get Free Pdf



Ex 7 1 9 If Q 0 1 Is Equidistant From P 5 3 R X 6



1



The Roots Of The Equation X P X Q R 2 Where P Q R Are Real Are Youtube



Reh Math Uni Duesseldorf De



If The Roots Of The Quadratic Equation P Q R X 2 Q R P X R P Q 0 Are Equal Show Then 1p 1r 2q Mq Find M



Die Apostelgeschichte Und Die Proceedings Der Generalsynode Der Reformierten Kirche In Amerika Ox Sjtnpv Ff M Jaj Uoiunui Raoo Iii Wou Prjoj Paia Papuadsng Passitnsjd Ouiobt Iao Uq F U0 Ss8ju0 3 Uq Eoi Ioo Oo Oo Ot



In The Adjoining Figure Ox And Rx Are The Bisectors Of The Angles Q And R Respectively Of The Triangle Pqr If Xs Qr And Xt Pq Prove That Dxtq



Grade 10 Geometry Basics If Q Is The Midpoint Of Pr Find The Value Of X Homeworkhelp


コメント
コメントを投稿