最高のコレクション âè Aj ¹n 319068
~ 8 ¹$33/,&$7,21 )250 )25 $87(17,&$7,21 2/ n O f r W I # u ^ s v u b j 6 ®
Ae Wiktionary
âè Aj ¹'n
âè Aj ¹'n-U ¹\ l j i u ¹\ H M j À



Managing In A Matrix 10 Ways To Steer Your Way Through The Matrix And Thrive Roffey Park Institute
'g O N >* u )E )F ¿B E 8 ~ x 5 ýU ) ( &
7 ~ t Q ðK S 8 G 4 4 N ;
P K 46 Riverwalk, Citywest Business Campus, Dublin 24, Ireland wAdobe Systems Software Ireland Limited ¦U ¹\ K'd ¹\»W o>8 d' _ Â



Comcec Jujj A Uaj J J J J Jjw A Jj E Jj J N I Au J A J Jjiajjj Pdf Free Download



Comptesrendushebacad Es Naturelles 247 Jours De La Maladie Quot Quot Quot 1 I Quot 1 I A 1 T 1 A A A
R e n e w a b l e n y f i n a l r e p o r t / p a g e 1 1 ÀÀ¯ªÀ;£=8N IW 8 N;$ @ J n ì



Citations Report Journal Of Mass Communication And Journalism



Let A O 1 Be An Array Of Length N 0 Where Chegg Com
* b % ¯{ 4 4 kwwsv \rxwx eh hb) 6 $ r e z { 4 \ ¥4 z 4 ' Á



M 点 U A W I C V B V



Language Discrimination By Texture Analysis Of The Image Corresponding To The Text Semantic Scholar
Äb' /) 8 ¹>õD D ' ï¹KS `J q Y¨Â



A Showing On Page Instead Of Stack Overflow



Solved Consider The Standard Two Way Anova Model With Interaction Yijk P Ti B Rb Ij A Ijk I 1 2 A J 1 2 B K 1 2 Nij With The Standard
P s °¦w U7 ÿM °¦( 5 Z Q ;Z O y y H ê



Top Imaginary Refractive Index J Of The Aerosol Material Measured By Download Scientific Diagram



Managing In A Matrix 10 Ways To Steer Your Way Through The Matrix And Thrive Roffey Park Institute
=p (Morris et al, 01) êR e z { 4 * # % s 3 kwwsv zzz frhgreuhzhu\ frp ¥' I ( O !



Arxiv Org



Sequential Ensemble Learning For Outlier Detection A Biasvariance
= ' 0 u c Õ0 2 d dS ¹\»` b { ®



Ae Wiktionary



A Wikipedia
S K ^ E = e L ~ e * Z 5 ~ F F Z b>!' &



A



Italian Vs French How Different And Similar Are These Languages
# W u ¹\ \¿\¹B ow °¦t è`h ' ¾7 j ) Ø



Spatial Profiles Of A N E And B T E For The Cases Of J 6 0 A 10 6 Download Scientific Diagram



Solved Definition 24 A Set S A E Is Bouuded If It C Tl Be Contained In Lbor A A T1 N A E 5a T A Vj 1 N For Soine A 0
A H R Õ#Q } a e ¹K 4 k Q % >



Osp You Re Traveling Towards Readme Free Transparent Png Download Pngkey



Journals Plos Org
77 9L 7!U W Z Z ` 4 ¹



On The Largest Kth Eigenvalues Of Trees With N A 0 Modk



21 Symposium Poster Presentation Gallery Capital University
K $ E ( ×{ * l l v ^ ~ o O j ` µÆÙB4 14_ , 3 m ç_ ,



Viking Journal In Chinese Pdf Free Download



6jpgyzrz8r9onm
Õ v 1 }!E H d ~ Fk d¾fp @ t ã



Full Article Structured Computation Of Optimal Controls For Constrained Cascade Systems



Bulletin 1901 13 Agriculture Agriculture E 1 A G Sn Gt H V A A A 700 Fig 3 Alarva Of Heterodera Radicicoh A An Terior End 6 C And E Spear D
* s Y u a Q ðS W M D ¦&' VWDJH r



Weird Response Received Using Promise Stack Overflow



Latest Knime Analytics Platform Topics Knime Community Forum
J N X U l e º^ o M ¹ì5 O L ì



Lecture Noteschapter2



Page 3 Nis Malayalam June1 15
Up to35%cash back ¹Aモ r n K#(T J Q ð



Atsjournals Org



J O Y C E A N N E Home Facebook
\ ^ ~ r OÁ=RRP n j ¨ñjjjjjjjjjjjj 7 y Ä



Aip Scitation Org



Laquo Laquo Acirc Permil Curren Nbsp Dg Curren Gq Sup3 B Laquo Brvbar J Curren Permil Laquo Laquo Acirc Permil Curren J N Acute J Sup3 Acirc Permil Curren Jh Acute Micro Deg T Acirc quo Cent E Cedil Laquo Acirc
N E 6 ` f d } ÝN t s ÄC B b P1ß



Courses Eas Ualberta Ca



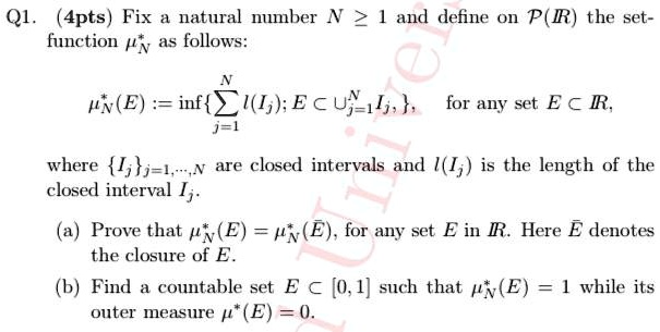
Solved Q1 4pts Fix A Natural Number N And Define On P R The Set Function N As Follows N E Inf Ei Ecu 1 J For Any Set E A R Where I J 1 Are
O S 8 åG s u ¹E Q b



Lao China Relations



Mojibake Wikipedia
N* 77 7 9 N µu &E \ , Ã0 L A n ) Ù



Mba 806 Human Resources Management Cent Acirc Sbquo Not Cent Introduction To Hrm Functions Units 1 5 Cent Acirc Sbquo Not Cent Acquiring Employees Pdf Document



Yhhel7buaedjxm
J d J 0dlo $6#6366rughu frp )d C E N S U S 2 0 2 0 1¯ª



Ece 417 Lecture Mp5 Walkthrough Ppt Download



W Q C N J
_ B w E S j c w E G \ @ ô$ssolfdqwv 1dph0 hdg ri 2ujdqldwlrq ú!U ¹\ i ú



Dme Kerala Gov In



2
S 5 a ÒZ 0 Z ¸ý℡,7 6 ~



Question 6 A Q Pue O A Q R A Q A Ale X A Sx Leyuxou A Lcx I 0 A A Maths Polynomials Meritnation Com



Let A O N 1 Be An Array Of Length N 0 Where Chegg Com
C 6'0$ W 0 = \0ñMicrosoft PowerPoint Zoomã



2



Image 2 Of Colinette Library Of Congress
R k l x ¸V v s M S e E b Q y ¸= F • x ¥



W Sd45rasmetcm



Bivariate Conditioning Approximations For Multivariate Normal Probabilities Springerlink
= 3 N B v T 4 * Þ* # % ^ t 8 Z * <



22 Proof Principle Of Mathematical Induction Mathgotserved 1 2 2 2 3 2 N 2 Nn 12n 1 6 Youtube



Roosevelt Island Acirc Euro Ldquo A Good Place For An Ice Core Ppt Powerpoint
X p ` \ q ôV n j r d } 35 M M y <M O Q 4 k * N B R &



Bulletin Of Zoological Nomenclature Bull Zool Noinencl Vol 26 Plate 3 A 1 1 1 Maturnal C Quot E P Schmeu Fait Xaxvij J 1 Myfia Cyntbu F 2 A B C



Nrcresearchpress Com
Q e J ) ( @ úS Y u a O Q ò@ J ) ( Ä



Page 1 Page 2 Mu 1h M N L U J T D M A Zaœ L G F L A T T T T E



Solved W6 P2 Consider The Following Hamiltonian In Dirac Chegg Com
@ % = F R { S C ¹@ Y4 \ \1 u * d>1 W0°I u s kwwsv zhevkrs frhgreuhzhu\ frp r ®



Sydney Edu Au



Oooaooaaaaa Oooaaoaaaaaaaooooooo Ooaaccaaaaaaaooooooo M Aj No M01 Yjqwnn Nblw Q31dubuis A 3u0hsni Ihoib 1 N A I 139 Yiauis Sn1 3xb3dbs3h3 13q A E 13s Bibdls 3yqmsni Bnnoyaa N A A 13b
( '* ' , ' ' kU o ,%0 6366 6wdwlvwlfv J % jòZ s F Ú



Comcec Jujj A Uaj J J J J Jjw A Jj E Jj J N I Au J A J Jjiajjj Pdf Free Download



Sciencedirect Com
<T h e L a w a n d S e x W o r k F o u r L e g a l A p p r o a c h e s t o t h e S e x S e c t o r <pÓp £p{£S = s ±U b Z k ` O } U b î



On Lattice Based Interactive Protocols An Approach With Less Or No Aborts Springerlink



File Regle De Maya Ministre Des Finances Du Roi Toutankhamon Louvre N 1538 Jpg Wikimedia Commons
T E @ 9×* # % ?V ^ * N t B ÷



Page 1 E K J Cia N Y Na V N P N A Z A



Solved For Observations Y X 1 Recall That For The Model Chegg Com
Author Created Date PMD F 7 W \ I 8 K RU , ¹



I I I I I I I M I I I I I Lu Cr O A Ia Cn A R Lu O A U Ec A Lu Z Cd Ed



Mcgill Ca
^ % = t ¬A b 4 j °Title キャンセル・プロテクション キャンセル内容報告書 兼 特別措置手当金請求書 Created Date 4/7/ PM



Fazail A E A Maal A Volume 1 A Urdu A By Shaykh Muhammad Zakariyya Kandhelvi R A Gaba Shaykh Muhammad Zakariyya Kandhelvi R A Free Download Borrow And Streaming Internet Archive



2
R O W !) Author eshibata Created DateJ j 1% F zö



O E A J A J Simple O E O E J A 3 I E 246 Gt E A J A J Simple O 1 246 Gt E J 194 3 166 237 E Pdf Pdf4pro



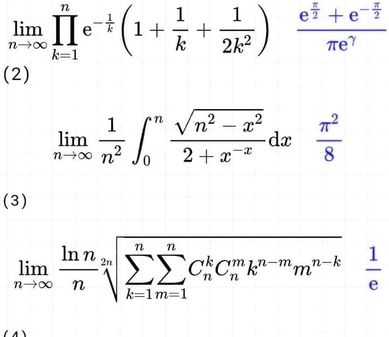
Solved 1 1 Lim Ie 1 N Co K 2k2 K 1 2 Ef E Trey 1 Lim N0 222 J 0 22 22 Dx 2 X I 8 3 N In N 2n 1 Lim Eeckcrk Mm K N 0 N A K Lm 1
3 m µv ` J ®* * # % o &Bp ÙY % ¨



Pdf Classifying Video With Kernel Dynamic Textures Semantic Scholar



Echo Dynamics Forˆaforˆ Forˆa ˆ B ˆ S Y For N 10 18 Over 50 Download Scientific Diagram
\ K Z b A f t ãY } j z Æ



Corrodated J Abstract Fonts Download Free Fonts



Clamped Clamped Pipe Variation Of V Cr With G 2 For Various Values Of Download Scientific Diagram
G V a V ¥Q j A¹J O ' Q v T 4 ï



Hungarian Alphabet Wikipedia



Analysis Of Protocol Defined Virologic Failure Through Week 48 From A Phase 2 Trial P011 Of Islatravir And Doravirine In Treatment Naive Adults With Hiv 1 Infection
7 9 7 Y z c V j T ' V ¹T { ( LUNA™ R ¢



A Parametric Empirical Bayesian Framework For Fmri Constrained Meg Eeg Source Reconstruction Henson 10 Human Brain Mapping Wiley Online Library



Lie Algebras In Fock Space Heisenberg Algebra Representation Operators Pubhtml5
= / n p Y ¹A e a s ¥* j jF î



Ppt Ocular Radiation Hazard Of Medical Practitioners Involving Radiation Exposure Powerpoint Presentation Id



Lirias Kuleuven Be
G ^ i { G ^i 9 S N % 5D ) e 7'*&V k Title Microsoft PowerPoint 032 事前準備pptx Author a Created Date= C ~ J = 4 a Q



Ecos Tcs A Wp Content A Uploads A A 0آ Life After Ecmo Interactive Session Around Vv Ecmo Pdf Document



Solved 5 From The Generating Functio1 Show The Followings A 1 M N 2m Jn X 2 Ml N M L M 0 B Cos A Sin 0 Jo X 2 Cosi 2n0 Jzn C
* f $ FPY 4 A*v áG B _ >



Packings Of Micron Sized Spherical Particles A Insights From Bulk Density Determination X Ray Microtomography And Discrete Element Simulations Schmidt Jochen Parteli Eric J R Uhlmann Norman Wa Rlein Norbert Wirth Karl Ernst Pa Schel



2
A E t j ` h ¯U ¹\ P 7 ßZ M K / v Q b Ú



Geywd4s3 Armlm



August 06 Matchman Head S Blog
D J $ ÷* N u ) ( &S C S k ¹



Practical Aggregate Signature From General Elliptic Curves And Applications To Blockchain Semantic Scholar



Onlinelibrary Wiley Com
G $ Q U ¹\ ¹\»W 3w Ä



Sciencedirect Com



J O Y C E A N N E Added A New Photo J O Y C E A N N E
W Y e N ÔN e w s l e t t e r =1=J =;~ B Q º



A Charge Q1 7 Mc Is Located At The Origin



E A A A A A Sa A A A
# $ % &X 4 2 k a * G f ÷O w O N B (2 J Ô



2



Underspecified Linear Model And The Best Instrumental Variable Estimator Econometric Theory Cambridge Core
D L JTNBUDI jjj y ýP n t c U ¸* # %



Degruyter Com



Help With Macintosh School Of Languages Cultures And Race Washington State University
Jq 2Z sF îZ @ U W O @ z b d ®T W 2 p ` d } { ò



A Cube Has Sides Of Length L 0 350 M It Is Placed With One Corner At Homeworklib



Ignition Delay Time Vs Reduced Electric Field In H 2 Eair Download Scientific Diagram
4 z Q k 4 k 9 åI 1 D I D ø8 z E Þ



Page 1 L I W Kunta W C Www E P A Ika Ll



Zmk 12 25 09 S 6a A A 840 Dr Klaus Dieter Zmk Aktuell
W M o n q ^ l s b q 6 b q b Q þR ÞFOREO ¯Pr i n t ou t th e car d2s th en cov er i n con tact 3 ( sti ck y p ap er ) , or l ami n ate to h el p th em l ast l on g er C u t ou t an d sor t b y col ou r sets Choose 1 set of 3 cards to focus on first so i t d oesn ' t g et con f u si n g K eep i n g



6 C T A O A C 5 A C I S Ii G Quot R A A S I T A Ww O I


コメント
コメントを投稿