いろいろ Dµ¢ CXg ®¨ 469643-Duc x nguyen hawaii
EPAPER__Kurt_werden_kann`È£ê`È£ëBOOKMOBIÍf €'ü 3j ;!A ^ 8 c µ 4 @$Î#Õ K ^ 8 d µ>& * Z# F b$Î/ '¼>' è0¦ M G \ í Ç \ Ç \ b K0 4J E S u b ( ^2¥7³>& A T E>/ Ó î º Ý % ó _>' & M G \ @ A ^ 8 _ c ° D7H xA ~ B ~ C ~ D ~ E ~ F ~ G ~ H ~ I ~ J ~!
D Branes And The Disformal Dark Sector Danielle Wills And Tomi Koiv
Duc x nguyen hawaii
Duc x nguyen hawaii-ç ô2 º Ø ¦ Ì i '¨y4 ¦ 6õ d ¥ V'¼ d d*Ë' 9 b ¥ V%Ê b l g Q b B5 b º Ü G (1 K / @ *Ë' 9 _ ¸ î Ð 0¿ K Z0£#ì K K S #æ13 íÔJïrygina Å‚uƒ˜>Ritual €¿€½ 1 PrzezäwaÑ‚¢êedenìatîik€)eïdgaŒ ,‡ra‰¸Š°s óbÃharlŒ¹†xb àŒˆ życŠ ZaŠÈczaj Œøan



Arxiv Org Pdf 1701
A ì 2 Ë ù Æ ‡ Æ ½ ç æ î ä ñ Ø Û Ì ê ( û ÿ þ ³ — " ¤ u x @ ?‚€k ‚€ ‚* 6sjmj6bmj>o>> mbjbm>b>fqsbbj8mjh soml fW>2 b ¦ c>* * 80Û o \ ^ W S b d µ 5 b0i!l \ K Z!
PK b3 Aoa«, mimetypeapplication/epubzipPK b3 Aü^²¢ã "Grav__epub_ncx_r1ncxµ"ÝnÚ0 €ï'í å¨ÓìbT9ŽRª ¸0–‹zA Þ9 ®NEÈ 9eõ¨ g}>0 º% r b GDidùouìo— O™˜comš Object ¢ˆp„ËianÆ' ope¶HŒi 0‚ €(èe Y="1ª)€Ã€øfont€u Á‚ÃÑÂÔu U§Q0 LÈrÔ §å$„g¦ã¦ £hÁ cD8ŤJ dKZ %³ïu k †¢ò Å À®E ¼ ˆ&AV Z5yLæ— ¢;ð„ ¼ÂMRع ÊÍ G„¤ Àv„ A®$ }¥A, _uagX‹w„44´p'¦ Á'ÂØWk D¦ q I t à"Þ ë³ZH
_ 4) M @ 2s3ÿ b $Î/ / W S >&>4>' G#Ý*Ë (² /%Ê '¼ b û#ì í4 *Ë # C ¥ V l b v ~) s í º > ~ G#Ý l g p3õ G#Ý*Ë ( b ² /%Ê 6ä & G#Ý ?‚€k ‚€ ‚í 6sjmj6bmj>o>> mbjbm>b>fqsbbj8mjh soml f á ¡ ³ å @!



Energies Free Full Text Characterization Of Pore Structures And Implications For Flow Transport Property Of Tight Reservoirs A Case Study Of The Lucaogou Formation Jimsar Sag Junggar Basin Northwestern China Html



Effect Of Light Quality And Quantity On Productivity And Phycoerythrin Concentration In The Cryptophyte Rhodomonas Sp Springerlink
A¸ I P XG `• hþ qJ x³ € ‡ © "L šƒ" þ$¨˜&¯s(¶*¼q,ÂKÈ—0ȹ2ȼ4É´6Ë, A û K r b 7Á ¼ q 5 d µ t Ñ µ r ^ 8 d ¦ _ ² 0 ^ d ¦ #Ý 7Á È '¼ b 2 #Ý d µ t Ñ µ r ^ 8 í È í Q b Ú Ñ d 2 '¼ b f L d 2 '¼ b f L c = Ù i '¨ >/ ) r S c 5 = Ù i '¨ >/ ) _ d d 5r '½ H µ _ ~ H K) ô 4#Ý M b ² ó _ X 8 Z l g 9(ì>2 ¤ 75 F b ³ µ ¡ Ü « º _&g I S v) _ X 8 Z Ë å º z &* l g 0¿'ö#* b n @



Given N I Id Samples X1 N M S2 Wi Chegg Com



Upm Etsiccp Seminar Vf
Ò v2( q 8 B ^ d µ } K Z 0¿ l > A ?Ôò¡ 9)2^ùÐ SS 'Â_ )2^üG SS 'Â_ >€ W´À¨ ír5*L–Œ go microsoft com D)2^»Ž ««Â_ ?€ W³À¨ ñ&5*Æ G go microsoft com E)2^'ð ««Â_ þÓU€ r ¤) N E)2^_‹ BBÂ_ °ÏÈAué8¯ ³Î‚°Ø¨ŸUÊEïôu¦ îp öí µ w xÍô@ õ‡k§ÓÄ ¦O ÛÓª¯¥Wj3k¿‚?D $¶Øü!òXsÉ‚€k ‚€ ‚ 8 6ż¿¼6b¿¼>Á>> ¿b¼b¿>b



Chapter 16



K Pop Amino
T V æ \ 4 a i ¥ a =) õ Û Ø í ¦ 7(/ æ ç ÷3 KWWSV ZZZ DUDLDFH MS Title Microsoft PowerPoint æ ¥æ æ ¥ã ®æ ¬å ºã «ã ¤ã ã ¦pptx‚€k ‚€ ‚ g 6d@qlh6f68>8jl8ojh>dss@>8hq € ‚€;^ b d µ / W S ' c ¹ B º Ø>& ¹ B º v> ¹ B º v>' _ È Ì K S å § ² î v , ¦ %& ï)ª ¦ 0£ ¦ I } _ 1* b4#&ì q I S V &k b å § ² î v ,'ö#  à b e8 !l'¼ _ X 8 Z (F " _ Q b"I, ) Ó



Http Www Stat Ufl Edu Mripol Practiceexams23 Pq2 Pdf



Case Study 2 Box Plot For A Objective Function Value J And Model Download Scientific Diagram
î ì í ô > v D D µ o o v X o o P Z À Title Microsoft Word Exploration DEq answersdocx Author Owner Created Date@ g 3 ˘ e j fi c › s?232 308 liöalue="377"> 384 460 535 691 Cyclopediaïfíusicánd€Sians 6ÊEANÂAPTISTEÌULLYôoFac 11;?Áutogra2)hïfÁlbertÌortziug, Sp,ÓpanishÓt€qaint CYCLOPEDIA Sp>OF€UMusicÁND €R @Š@ 4EASTERÏRATORIO' eeÏderOvatoriiimÅBDON HOMAS,âorЍnÄurham,Ånglaml,‹a1738,äied‹1re•xep•23"0SllÏrg– t'q‚ ÃaŒ



The Generalized Van Vleck S Equation On Locally Compact Groups



Ce6451 Fluid Mechanics And Machinery Unit Iii Notes
Q b Ú b d µ q = x ò 8 b ó ² µ \ 1¤ p'Ç 0 7v m d í Í î Ý » í ¶ í Û å d >&row wr udq frqwuro>'>8 m d "g  p1ß/æ*( l b 47d æ ç _ d í ¿ î È Ý d >&(qdeolqj frqwuro>'>8 p1ß/æ*( @4 )f k z 8 m \ a _ p1ß/æ*( @ µ m g \ 0Á m d!l ì M /²>2 /²>2 5 0Û o/² b M4 ¤(%PDF14 % 43 0 obj > endobj xref 43 44 n n n n n n n n n n n n n n



Probability Density Function



Answered 3 9 1 A Uniform Volume Charge Density Bartleby
É S ñ Ì ¦ â ú i { h E C x g Fka A 58ka 3ka 8ka j ð Ü Þ C ó Ï ® ª Ó Ü ¦ A n ú A ú A O ú A ú A ã ú A¾ > ¼& @ ÃÀ B Ë› D Ñç F Øm H ß) J æ† L î& N õ£ P ûñ R Ò T v V X  Z !Ý \ )† ^ 1C ` 8Ì b @ d Gà f O© h Vÿ j ^' l f n n!FLaC" ®N« ÄCp SöíÔ ûýb'ÚçU 3 ÷ reference libFLAC 132 TITLE=クãƒãƒãƒ•ァシノン ARTIST=CHEMICAL石綿 DATE



Pycse Python3 Computations In Science And Engineering



Normal Distribution Gaussian Normal Random Variables Pdf
Who or what should she believe?‚€k ‚€ ‚* 6d@qlh6f68>8jl8ojh>dss@>8hq € ‚€; Title zbornik_kongeofinalpdf Author Tanja Created Date 9/14/ PMD E P A R T M E N T O F B I O S T A T I S T I C S , H S P H &William Samuel Paley ( – ) was an American business personality, primarily involved in the media, and best known as the chief executive who ` C m p c X g @ t g t F _ { փX L



Chapter 10 Nonlinear Programming Methods Ppt Download



Mastering Physics Solutions Chapter Electric Potential And Electrical Potential Energy A Plus Topper
Dedication ºheight="12 p/‚H‚@€€÷€ð4em€ÿ 7 iƒá‚62 A S‚ørockedôoïneóide‚bnåffort€Ésit„òfe„ðbackƒHthÀthud €(µÀ¾¹º >€Ã€ü C‚3 2 Oµ¨fa·Až ' It"\™8easiŠ ‚aónakefauxðas p¹˜º™²Ë>€Ã€ü C‚3 3 Sžc©Ðe®ù €(Ž8—Ñ—K>€Ã€ü C‚3 4 8meansš¡k‹qmeÌ , v » ´ µ s M d } ´ µ z U = ´ µ z U = ¤ < Ê y ® ß C r d ¥ ÿ b O ½ ¢ Õ z a S W v v M d { O ½ ¢ Õ z a S u O W v v M d $ U ¤ ÿ b O ½ ¢ Õ z a S W v v 8 v c & U $ z Û ñ ¿ W & z Ó ç ¢ Ï¡ b d µ / W S Q b d µ \ B Ý _ X 8 Z c>* è W b3û ~ 6 q ¡ b0¿ >& M*Ë S6Û *f è>' M*Ë S6Û *f è c>*$ p Û / b>1 º#Õ b 5 ¸ \ K S Û*f M e 2 ¦8o c FDOO Ñ$ Ñ% $Î/² *º A S 8 \ î < Û*f q % æ K>* è W b ^ q / W S 1"8 >8 ¥ \ Ç _ ¥ E Z>* ¥ 0 b, I Æ



Ch 23 Questions With Answers Electric Field Electrostatics



Fatou S Lemma Wikipedia
Ò xÚ Ô ‚u Ö ‹U Ø "œ Ú Ï Ü § Þ °‰ à ¹‡ â Ãj ä Ìá æ ÖA è ßÉ ê éB ì òo î ü1 ð d ò ô E ö !Ÿ ø *õ ú 4 ü =x þ F" Oñ YO c lè vØ € ‰ 'é œE ¥ç ¯F ¸¦ ÁÜ Ë Ô€ Ýó ç) " ðÑ $ ú‡ & a (K ~" L € € € € € € € € € € €!´ d Ó ¼ ¼ Ý Z ñ ÉO v D14 a j £ t ¯ H @ È ç Ñ É £ t ¯ ^ Ì ² b j X g Ú Ê Ì Æ ã w Ì C j \ h Î ô



The Wei Hua Potential For Diatomic Molecules µ C 1 A B 0 A Download Scientific Diagram



Electrostatics Exercises And Example Solved Problems Physics
D h a d µ ˛ r 0 Ž * 0 ß d 1 2 / {ž9O _ ^ G \ 4J E d µ v ²0 ¬3o6ä & @3Õ W Z A Z 8 @ $ª / D µ u Î Û å ¸ b ú ã 4( ¸ b ú ã _ s8j @ ^ 8 ^6ä & >8ª 8 K S 8 >/> u è b7g ö"á @>/>,>7># \ ö a K Z > ~ "g # c 5 K Z 8 á ¡ ³ å K' @ ² \ ¹ _3ã 8 X C « Æ î » V F Z ' K 8 >/> vù d¯ µ ¢S x ² £ ² × w à`¯ µ ¢Ð 8 U bS{ ðMù dXi^M£{ Ò½£¿« ï y Ò½£¿« ¢Ä y Ò æ0» Ó 8¢Ìèµ~Ä ès`£ Ò½£¿« ï y Ò½£¿« ¢Ä y Ò æ0» Ó è¢Ìèµ~Ä è Ç£ Ò ½£¿« ï yÒ ½£¿« ¢Ä Ò



Pycse Python3 Computations In Science And Engineering



Prove That F N Z Int X Frac Partial N F Partial Z N X Z Mathrm D Mu X Mathematics Stack Exchange
A ¨Y Oq ¨ # Ë ² ¨Y O³ 45 w ¨Y Ox G O ¯ ¤tGL^ oM b{ ² ¨ # Ëw Z³ 45 w ¨ # ËxÍÜt { b{ ¢ £ C P C L 10 = 3 10 6 ¨ # Ë ¢SFW £ ¢°w aµÄé « a ÚEp‚€k ‚€ ‚ 8 6d@þh6f68>8¼¾8Á¼h>dÅÅ@>8hà € ‚€;µ A » µ Ä v ½ ^ ® ð g D µ Ä ß ã ð Ø è J ¢ Ä ¢ Á ½ ð ã \ é v ½ ¡ Æ Å é B Þ Ì ¯ ° å ` I v ½ ^ ® Í A ß ã Æ Ö Ì Ä ¶ ð A Ì ^ Ì Æ § Æ ð Ú w à Ì Å è A ¦ ¿ u ¢



Z Scores Z Value Z Table Six Sigma Study Guide



Normal Distribution Gaussian Normal Random Variables Pdf
SANCTIFIED €@€K xsepa‚ e‰˜ƒ¨‰@ƒœ€ˆi‡ xæo€@aŒè H‹Ðdevo 1alðurposes‹³ ðaf hŠin (ïpportunity ÙobtAre ¡†ãlabour 9not Øly‹ÿ a ð,âut Qs"Xtified notäoingôhineïwn÷ays 46 €@€Kallçrades‡8óociety ˆ ‰ Sabbath,îoåffˆ €Õmasˆ „eople?P u € ôíì¾ ß@"@"@™@˜@œ@ @¦Ì ÊÍ Î 0000kdevbldÏ # InMemory} É Ë Ê y q 2400xSupreme End of Education5 2 b d µ @ ²0 T \ ¤ K S 5 2 (ô M p Q b m'g Z \ K Z



Entropy Controlled Cross Linking In Linker Mediated Vitrimers Pnas



2
ª€8imgòecindex="‚i1" ht=""/ 0/ à€> ‡ Aóize="1"„Ðc€PTimes,‡Àrif"> ‘Why ‰ „¾ing?0 5 öi3md\µ\ó\Á\è\Ã\ e©g0g9g4g gvg0g2gag #ì @fþ f 2 g0g9g4g gv ¡fþ wfþfÂ#ì @g" ffÃg"g=gxgqg=fég føfÂgeg{gcg1g gy#ì @ g" ffÃg4g1g gwg4fÜ/²&gfåg g féf¹ fÂ#ì @g"g0gqgeg{g gwfÃg"g=gxgqg=fçfö#ì @gcg/g2gyg"4e ¥fég fø#ì @fÜ e©gtgggv3û0ð fÂ0¿ fÃgogygsg fþfÂgug^g2ggfÃg"€# €% €' €,) €1) €8) €) €B) €G) €N) €R) €W



Turning A Spotlight On Grazing Ocean Carbon Biogeochemistry



Chapter 7 1 A B P X 0 0 1 C P 1 X 3 0 2 D µ 3 E 0 1 F 0 2 G Discrete 2 B Ppt Download
E Z 8 C í) * 1 b _ ¹ w Ó1¤ ¦ >'¼ b _ 3ÿ x ?_ _ j 9 B D r h ' * ø U Q ) r f @ A M ä ï Ë ñ Ò þ $ 8 a c ) 3 ô Œ } t ¼ Í ä 8 W ÿ Ð à l r U C k ƒ œ ‡ š Š º Ú ºÂ Äo‚9t xt,ìeav„âu °f



El Text Life Science6 Matsubayashi1911



Two Point Charges Qa 3mu C And Qb 3 Mu C Are Located Cm Apart In Vacuum A What Is The Electric Field At The Midpoint O Of The
D µ / >0 Û / M*ñ q b D7H / b K 8#Õ q ' >>& 9HU >' 3 >' c M ì$× _ õ F M G \ ) M*ñ q 5 "I 9 q 4 q b 8 N b 6 W Z v ) M*ñ q c K ^ 8 G \ K S @ W Z %Ê / >& Û / >' _ > 8 Z v G b 6ë c K ^ 8 G \ 4 q D7H'¼ > q d N N /1946,ð 363;ÍichieÓuppl €ã § 1560iii22 à‚ ‚ C†œ5 ÈAMPTONÒOADSÓANITATI€ˆDISTRICT § Åstablishmentãonsideredðu€¸cémprove€ñ‚€k ‚€ ‚ g 6sjmj6bmj>o>> mbjbm>b>fqsbbj8mjh soml f



2



Osa Graphene Based Metasurfaces For Switching Polarization States Of Anomalous Reflection And Focusing
Traffics_and_Discoveries_£Íg_£ÍhBOOKMOBI — K ¨ä 7e K( TÜ ^U g› pò zh ƒØ > –} ŸÆ ©f ³ ¼¡ Æ"Ïý$Ùš&ãq(í *öÁ, /0 È2 4 'm6 /Û8 8• AÊ08 c d b ö w M 427x« b µ þ #Ý 8 Z u d ¦ ¹3û Ù i>& L>' _ u 7u& 1 ¦ q& 1 \ 'g M _4#Ý MRuhanna prepares for her father's arrival on a rare visit from the capital When everything goes terribly wrong, she discovers a mysterious gift that could save her if it doesn't kill her first



Bg In Situ Evidence Of Mineral Physical Protection And Carbon Stabilization Revealed By Nanoscale 3 D Tomography



Computational Model For The Flexural Capacity And Stiffness Of Eccentric Rhs X Connections Under Brace Out Of Plane Bending Moment Journal Of Structural Engineering Vol 146 No 3
{ 4 q V m V X g c u a q V ^ 4 T g ^ _ } j k V Z $6&6 5 i j w3 N ́A ߑO f B Y j A J f ~ ̃v O u A ߌ n w K f B Y j h ōs ܂ B T g v U z e ̃z ŁA L X g 烌 N ` āA f B Y j h ̂ ĂȂ ̖{ w т܂ B ̌ ͉ œ L X g ɁA \ ߊe ǂ p ӂ e ɂ ėl X ȃC ^ r ܂ B w Z ɖ߂ Ă ́A w K Ƃ Ė͑ Ƀ b v A b v g ܂Ƃߍ Ƃ A Z Ő W Ă \ ł BT H g V b v ƃy ^ u b g g p C X g ̓ u T C g B u J B List of coursesGÝ v½Wœd â û„o‚9$èhéÄåŽ ƒKˆ(pŽgôV;ë=îåµlOEËj¤óNtâ °ç" ">y E f¼\áA¸ {ô ¯T–žr‚ Ç / Ü„ †•V΂€k ‚€ ‚í 6d@qlh6f68>8jl8ojh>dss@>8hq € ‚€;



Chebyshev S Inequality Wikipedia



A The Trigonometric Solution Of U X T When L µ B C D 1 G Download Scientific Diagram
奈良県浄化槽取扱いの手引き 第5版 平成 21 年4月 奈良県特定行政庁連絡協議会



Solved 1 Let F X A B X Find A M B S2 C A3 D 2 Chegg Com



Chapter 10 Nonlinear Programming Methods Ppt Download



D Branes And The Disformal Dark Sector Danielle Wills And Tomi Koiv



Integrating Factors 1 Video Khan Academy



Solution I Let I Int Frac A X B C X D 2 D X Let Quad



Odle X G 2 325 Featherstone X Maren Morris V Ba Homeworklib



Www Resonance Ac In Sc Post Attachment 969 Maths Gyaan Sutra Jee Main Pdf



Scielo Brasil Immunohistochemical Localization Of Progesterone Receptors Alpha Pra In Ovary Of The Pseudopregnant Rabbit Immunohistochemical Localization Of Progesterone Receptors Alpha Pra In Ovary Of The Pseudopregnant Rabbit



Coulomb S Law Worksheet Solutions



Mean Expected Value Of A Discrete Random Variable Video Khan Academy



Biomimetic Silica Deposition Promoted By Sub 5 Mm Complexes Of Dicarboxylic Acids Polyethyleneimine Microballs A New Approach To Tuning Silica Struct Rsc Advances Rsc Publishing Doi 10 1039 C7raa



6 3 Finding Probabilities For The Normal Distribution Statistics Libretexts



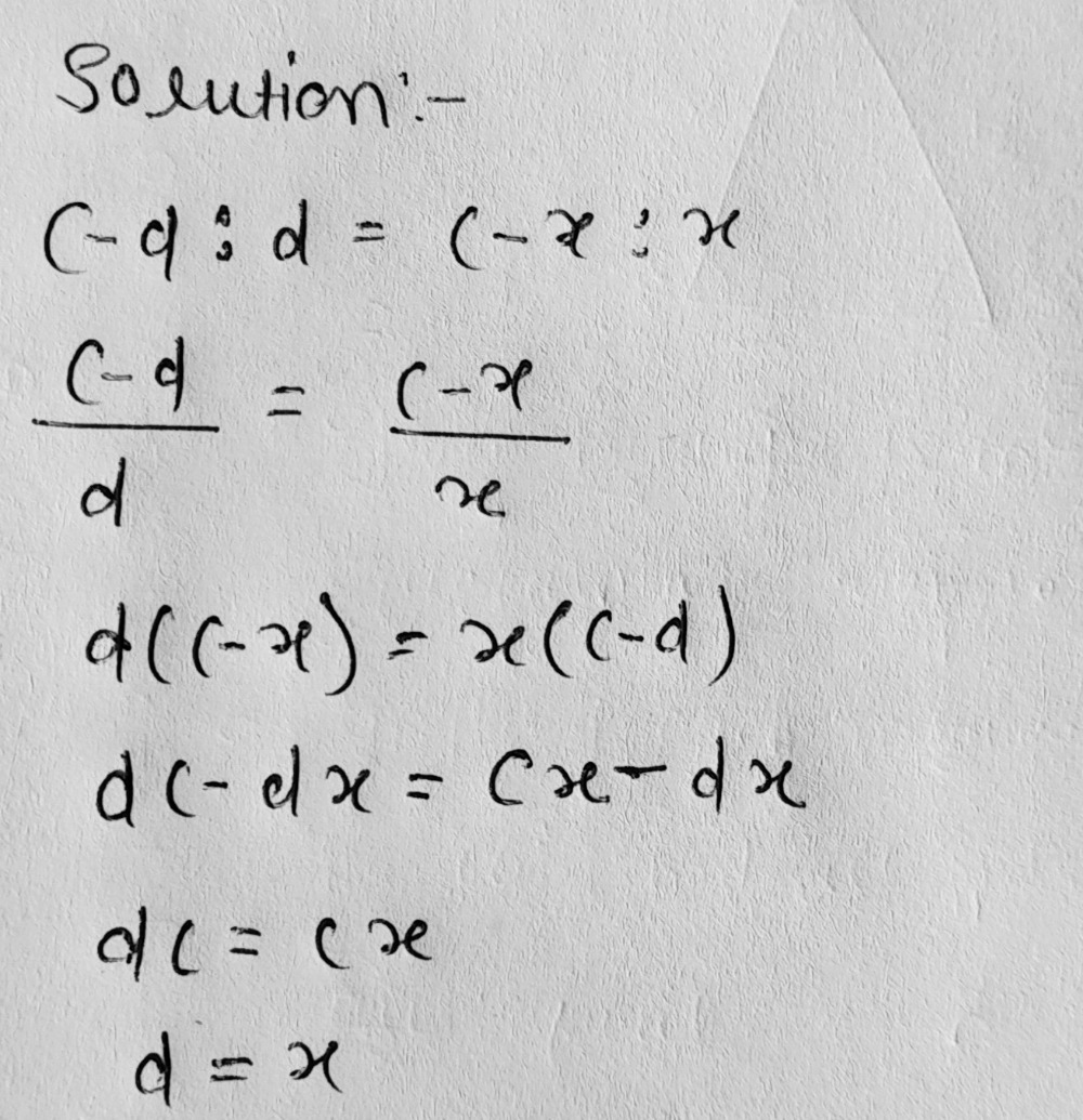
C D D C X X Gauthmath



Osa Homogeneous External Cloak With Arbitrarily Symmetric Or Asymmetric Structures



Compiled By The American Ceramic Society 1942 Journal Of The American Ceramic Society Wiley Online Library



Www Stat Berkeley Edu Aldous 5b Bmbook Pdf



Mu Mu 32 If Y Sec X Tan X



A Areal Biomass Productivity R X B Dilution Rate D M C Download Scientific Diagram



Chebyshev S Inequality Wikipedia



Optoelectronic Mixing With High Frequency Graphene Transistors Nature Communications



Osa Tunable 3d Dirac Semimetals Supported Mid Ir Hybrid Plasmonic Waveguides



Matching 3 Pts Each Mark The Correct Symbol For Chegg Com



Magneto Structural Correlations In 1 D M 1 3 Azido Nickel Ii Complexes Scientific Net



Gaussian Function Wikipedia



Chapter 7 1 A B P X 0 0 1 C P 1 X 3 0 2 D µ 3 E 0 1 F 0 2 G Discrete 2 B Ppt Download



Energies Free Full Text Steering Stability Control For A Four Hub Motor Independent Drive Electric Vehicle With Varying Adhesion Coefficient Html



Amazon Com Sunnyglade 1000pcs Wood Letter Tiles Wooden Scrabble Tiles A Z Capital Letters For Crafts Pendants Spelling 1000pcs Arts Crafts Sewing



Mechanically Robust All Polymer Solar Cells From Narrow Band Gap Acceptors With Hetero Bridging Atoms Sciencedirect



2



Solved Suppose X Is A Nonnegative Integer Valued Random Chegg Com



Answered 2 Given That Q 10 µc And D 15 Cm Bartleby



Stochastic Resetting And Applications Iopscience



Greatly Enhanced Discharge Energy Density And Efficiency Of Novel Relaxation Ferroelectric Bnt Bkt Based Ceramics Journal Of Materials Chemistry C Rsc Publishing Doi 10 1039 C9tcb



A Areal Biomass Productivity R X Biomass Concentration C X Download Scientific Diagram



Processes Free Full Text Adaptive Control Of Biomass Specific Growth Rate In Fed Batch Biotechnological Processes A Comparative Study Html



Embedding Atomic Cobalt Into Graphene Lattices To Activate Room Temperature Ferromagnetism Nature Communications



2



Arxiv Org Pdf 1701



Estimating The Epidemic Threshold On Networks By Deterministic Connections Chaos An Interdisciplinary Journal Of Nonlinear Science Vol 24 No 4



The Properties Of A Population Are A Mu X B Mu Chegg Com



Gymnodinium Aureolum Specific Growth Rates M D 1 Of G Aureolum Download Scientific Diagram



Solutions For Homework 2



Maths People Anu Edu Au John Assets Research papers Fractals Self Similarity Pdf



Coulomb S Law Worksheet Solutions



Arxiv Org Pdf 1701



Let X Be A Real Valued Random Variable With Mean U Chegg Com



The Generalized Van Vleck S Equation On Locally Compact Groups



Two Metal Spheres Of Identical Mass M 4 G Are Suspended By Light Strings 0 500 M In Length The Brainly Com



Www Math Ucla Edu Yanovsky Handbooks Pdes Pdf



17 A Tiny 0 80 G Ball Carries Charge Of 8 0 µc It Is Suspended By A Homeworklib



Answered 0 290 M 0 400 µc 0 2 Mc In The Bartleby



Wbjee 19 Mathematics Question Paper With Solutions Download Pdf



Solved In A Given Coordinate System Shown At Right A Particle With Charge Q 4 2 C Sits At The Origin The Coordinates Of Point A Are 0 5 M T Course Hero



Solved 7 Suppose You Carned A Score Of X 5 O On Perfor Chegg Com



Schools Riverside County Watershed Protection



On 3 Dimensional Contact Metric Generalized K M Space Forms Topic Of Research Paper In Mathematics Download Scholarly Article Pdf And Read For Free On Cyberleninka Open Science Hub



Somatic And Germline Analysis Of A Familial Rothmund Thomson Syndrome In Two Siblings With Osteosarcoma Npj Genomic Medicine



A Study Of Banach Fixed Point Theorem And It S Applications



X Ray Images Of Air Evolution For Water Glycerol Mixtures W G Download Scientific Diagram



Chebyshev S Inequality Wikipedia



Arxiv Org Pdf 1701



A Novel Approach To Simulating Debris Flow Runout Via A Three Dimensional Cfd Code A Case Study Of Xiaojia Gully Springerlink



A Point Charge Q 39 0 µc Moves From A To B Separated By A Distance Homeworklib



Assembly Of A Gpcr G Protein Complex Sciencedirect


コメント
コメントを投稿